Дилинг
| Категория реферата: Рефераты по эргономике
| Теги реферата: диплом управление, рефераты по истории россии
| Добавил(а) на сайт: Kahmanova.
Предыдущая страница реферата | 1 2 3 4 5
Анализ проводиться с помощью линии тренда A и D соответственно через точки F - X и X - N, B и С - контрольные линии циклов. Очевидно, что выход курса после точки X, что подтверждается данными графика; вторая точка после X - после которой следует покупать франк. Аналогично проверяется анализ тренда. D - вторая точка после точки N - точка прерыва, после которой франк следует продавать.
После проведения операции следует оценить ее конечный результат, то есть доходность.
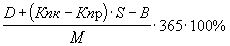
Доходность рассчитывается по следующей формуле :
![]()
где Кпк – курс покупки,
Кпр – курс продажи,
B – комиссия банка с контракта,
М – сумма залогового депозита,
365 – количество дней в году.
В данном примере, если контракт на продажу швейцарских франков (покупку долларов) заключается до, или в точке X по курсу 1.440 USD/SWF, а затем этот контракт покупается (т.е. продается доллар) до, или в точке N по курсу 1.580 USD/SWF и его сумма 1 000 000 000 USD, сумма комиссии 800 USD и залог клиента 500 000 USD (кредитное плечо – 1:20), то доходность составит 8350 % годовых.
Скачали данный реферат: Simonov, Niz'ev, Якобсон, Теребов, Димитрий, Fedoseev, Остромир.
Последние просмотренные рефераты на тему: шпори на телефон, курсовые работы бесплатно, скачать на телефон шпаргалки, бесплатные рефераты.
Категории:
Предыдущая страница реферата | 1 2 3 4 5
Главная