Налогообложение субфедеральных ценных бумаг и финансовые потоки местных органов власти
| Категория реферата: Рефераты по эргономике
| Теги реферата: текст для изложения, оформление доклада титульный лист
| Добавил(а) на сайт: Викторий.
Предыдущая страница реферата | 1 2 3 | Следующая страница реферата
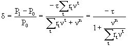
. (4)
Анализ формулы (4) позволяет сделать следующие выводы:
относительные потери местных органов власти от введения налогообложения субфедеральных ценных бумаг прямо пропорциональны ставке налогообложения;
увеличение срока обращения ценных бумаг, эмитируемых субъектами Федерации и органами местного самоуправления, при прочих равных ведет к увеличению относительных потерь от налогообложения;
чем выше равновесная рыночная норма доходности и оценка рискованности вложений, тем большими будут относительные потери эмитентов субфедеральных ценных бумаг вследствие налогообложения.
На рис. 2 приведены кривые зависимости величины относительных потерь эмитентов субфедеральных ценных бумаг вследствие налогообложения процентных доходов от срока до погашения эмитированных ценных бумаг.

На рис. 2 видно, что величина относительных потерь нарастает по мере увеличения срока обращения ценной бумаги, приближаясь к верхней границе - ставке налогообложения процентного дохода. Причем чем выше рыночная норма доходности (учитывающая и рискованность вложений в данную ценную бумагу), тем больше темп прироста относительных потерь эмитента.
Таким образом, наибольшие потери от налогообложения процентных доходов по субфедеральным ценным бумагам возникают в случае эмиссии ценных бумаг на длительные сроки в условиях высокой рыночной процентной ставки, а также тогда, когда доверие к субфедеральным ценным бумагам падает, что отражается на величине рисковой надбавки к рыночной норме доходности. Данные условия в точности соответствуют ситуации, сложившейся на рынке субфедеральных ценных бумаг после августовского кризиса 1998 г. и сохранившейся по сегодняшний день.
Единственным перспективным направлением развития рынка субфедеральных ценных бумаг является эмиссия облигаций с длительным сроком обращения, предназначенных для финансирования региональных и муниципальных инвестиций, а также облигаций, обеспеченных доходами по конкретным проектам. Уровень процентной ставки на финансовом рынке достаточно высок, а учитывая преобладающую оценку любых субфедеральных ценных бумаг РФ как высокоспекулятивных и, следовательно, рискованных, эмитенты могут получить необходимые кредитные ресурсы только под высокую доходность займов.
Из проведенного исследования может быть сделан вывод о том, что на сегодняшний день принятая в РФ система налогообложения ценных бумаг субъектов Федерации и муниципальных образований существенно ухудшает условия привлечения ими кредитных ресурсов, тормозит развитие рынка субфедеральных ценных бумаг и тем самым препятствует решению многих актуальных проблем местных финансов. В то же время действующая система налогообложения ставит краткосрочные займы в лучшее положение по отношению к долгосрочным, то есть косвенным образом стимулирует выпуск ценных бумаг не для решения проблем регионального и местного развития, а для финансирования дефицитов местных бюджетов. Это неминуемо приведет к общенациональному долговому кризису.
Проблема источников финансирования развития местной инфраструктуры
Понятно, что проблема поиска источников финансирования программ развития регионов и муниципальных образований России является чрезвычайно актуальной, требующей безотлагательного решения. Например, в сфере местного жилищно-коммунального хозяйства (ЖКХ) в ближайшем будущем можно ожидать следующие тенденции.
Во-первых, необходимость реконструкции и замены тысяч зданий стареющего муниципального жилого фонда. Во-вторых, необходимость реконструкции централизованной системы трубопроводов, обеспечивающих тепло- и водоснабжение, а также канализацию. В-третьих, рост текущих расходов местных бюджетов на обслуживание и ремонт стареющих основных фондов в жилищно-коммунальном секторе.
В последнем случае переход на систему полной оплаты всех расходов получателями услуг немедленно вызовет увеличение потребности населения в дополнительном социальном обеспечении. Местные органы власти вынуждены будут субсидировать население своих регионов для оплаты жилищно-коммунальных услуг.
Из вышесказанного следует:
текущие социальные расходы местных властей будут вытесняться текущими расходами на ЖКХ;
нарастает насущная необходимость привлечения инвестиций в сферу ЖКХ и социального обслуживания для финансирования капиталовложений.
Что могут сделать местные власти, чтобы увеличить или хотя бы сохранить текущий уровень социальных расходов своих бюджетов в данных условиях? Единственный выход - заимствование денег на финансовом рынке на долгосрочной основе. Сегодня это можно осуществить только при условии развития рынка муниципальных ценных бумаг.
Аналогичные проблемы стоят и перед органами государственной власти субъектов РФ. И здесь также единственным реальным источником финансовых ресурсов для осуществления долгосрочных вложений является рынок субфедеральных ценных бумаг. Однако следует признать, что в отношении муниципалитетов проблема источников финансирования капитальных расходов бюджетов является более острой, поскольку они и сегодня наименее обеспечены источниками налоговых доходов, а после введения в регионе налога с продаж, а в перспективе - налога на недвижимость практически полностью остаются без доходных источников даже для покрытия текущих расходов. Поэтому налоговое стимулирование муниципальных заимствований является приоритетным по отношению к заимствованиям субъектов Федерации.
Льготное налогообложение субфедеральных ценных бумаг: цели и возможные последствия
Повысить эффективность заимствований на фондовом рынке, предназначенных для развития местной инфраструктуры, возможно двумя путями. Например, посредством передачи местным бюджетам налоговых поступлений, полученных от обложения процентного дохода по субфедеральным облигациям, что трудноосуществимо и требует проведения специальных организационных мероприятий, сопряжено с большими затратами.
Более реальной альтернативой является освобождение от налога на прибыль процентного дохода по субфедеральным ценным бумагам, либо снижение ставки налога для данного вида дохода относительно налоговой ставки, установленной для доходов по ценным бумагам РФ. Введение льготного налогового статуса для субфедеральных ценных бумаг будет, таким образом, способствовать росту потенциала текущих расходов местных бюджетов, который может быть использован для увеличения финансирования социального обеспечения. Кроме того, это будет способствовать росту социальных инвестиций субъектов Федерации и местного самоуправления, финансируемых за счет займов.
Представляется, что введение льготного налогообложения субфедеральных ценных бумаг не отразится значительно на величине доходов федерального бюджета, поскольку на сегодняшний день объем рынка субфедеральных ценных бумаг и величина доходов, выплачиваемых по этим бумагам, невелики. В то же время, если введение льготного налогового статуса для субфедеральных ценных бумаг будет способствовать развитию рынка, росту количества займов и увеличению их срока погашения, то это приведет к расширению налоговой базы, а следовательно, в перспективе и налоговых доходов федерального бюджета на данном рынке. Причем длительные сроки обращения ценных бумаг сопряжены с многократной выплатой процентного дохода по ним в течение срока обращения, а это в свою очередь гарантирует стабильность и предсказуемость налоговых поступлений от льготного обложения процентных доходов по субфедеральным ценным бумагам.
Установление льгот по налогообложению процентных доходов является распространенной во всем мире мерой стимулирования интереса инвесторов к ценным бумагам регионов, что рассматривается как способ субсидирования государством расходов местных органов власти [1].
Наиболее показательным в данном отношении является опыт США, где рынок муниципальных ценных бумаг, на котором обращаются ценные бумаги штатов и муниципальных образований, является наиболее развитым в качественном и количественном отношении (* Капитализация рынка муниципальных облигаций в США в 1996 г. - 1,6.трлн дол.). Доходы по муниципальным ценным бумагам не облагаются в этой стране федеральным подоходным налогом, а также налогами тех штатов и муниципалитетов, в которых они выпущены. В некоторых штатах не облагаются подоходным налогом также и муниципальные облигации, выпущенные за пределами территории данного штата [2].
Предложения о введении льготного налогообложения субфедеральных ценных бумаг с позиций критики на первый взгляд противоречат принципам налоговой политики государства на рынке ценных бумаг, установленным Концепцией развития рынка ценных бумаг, утвержденной Указом Президента РФ от 01.07.96 г. № 1008. Данная Концепция предусматривает, во-первых, унификацию ставок налогов и принципов налогообложения в отношении инструментов финансового рынка, а во-вторых, отказ от установления налоговых льгот по отдельным видам ценных бумаг. Однако следует понимать, что здесь идет речь об установлении идентичных налоговых режимов лишь для однородных финансовых инструментов. В противном случае, наоборот, унификация налогового режима приведет к дискриминации ценных бумаг эмитентов, находящихся в худших условиях хозяйственной деятельности.
Рекомендуем скачать другие рефераты по теме: реферат по философии, реферат безопасность.
Категории:
Предыдущая страница реферата | 1 2 3 | Следующая страница реферата
Главная