Применение концепции альтернативных издержек в управлении финансами
| Категория реферата: Рефераты по эргономике
| Теги реферата: российские рефераты, реферат людина
| Добавил(а) на сайт: Соломин.
Предыдущая страница реферата | 1 2
Иными словами, для количественного измерения эффекта операционного рычага достаточно разделить маржинальный доход на операционную прибыль за один и тот же период. В рассмотренном выше примере при объеме выпуска 18 тыс. изделий значение операционного левериджа составит:
для первого предприятия – 21 ({[100 – 30) * 18] / [100 – 30) * 18] - 1200});
для второго предприятия – 13,5 ({[100 – 70) * 18] / [100 – 70) * 18] - 500}).То есть деловой риск первого предприятия в полтора раза выше, чем у второго. С изменением объема продаж на 1%, изменение операционной прибыли у первого предприятия составит 21%, а у второго – только 13,5%. В обоих случаях значения операционного левериджа значительны, однако у первого предприятия оно заметно выше. По мере удаления фактического объема продаж от кртитической точки будут уменьшаться как абсолютные значения операционного леве риджа, так и разница в их уровнях. Так, при q = 25 тыс. изделий, операционный леверидж для первого предприятия составит 3,182, а для второго – 3. Это объясняется снижением доли постоянных расходов в общей выручке от реализации по мере ее роста. Следовательно, наиболее существенно влияние операционного рычага на прибыль предприятия в окрестностях критической точки. Это заключение подтверждает график на рис. 3.2.3.
На оси абсцисс этого графика показан накопленный прирост (уменьшение) продаж от критической точки (принята за 0). По оси ординат отложены соответствующие значения прироста (уменьшения) прибыли в %. Наращение продаж как вправо так и влево от критической точки производилось с одним и тем же темпом – 10%. Как видно из графика, максимальное изменение прибыли (как вверх, так и вниз) было получено при отклонении объема продаж от критической точки на первые 10%: рост прибыли составил почти 100%, а снижение – около 90%. Затем интенсивность реагирования прибыли резко снижалась. Таким образом, предприятия, объемы

Рисунок 3.2.3. График зависимости изменения прибыли от изменения объема продаж
продаж которых значительно превышают критическую точку, менее восприимчивы к влиянию операционного рычага. Наибольшую опасность оно представляет для тех предприятий, которые еще не смогли “отвоевать” достаточную долю рынка. Как правило это небольшие или недавно созданные предприятия. В то же время любое предприятие, независимо от масштаба его деятельности, может столкнуться с кризисом продаж. В этом случае даже крупным предприятиям следует помнить о возникающей дополнительной опасности потерь вследствие операционного левериджа.
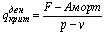
Принимая во внимание, что в составе постоянных затрат значительный удельный вес занимает амортизация основных фондов, начисление которой не влечет за собой денежных оттоков, при расчете критической точки объема продаж и эффекта операционного рычага сумма фиксированных издержек может быть уменьшена на величину начисленного износа. В этом случае говорят о денежной критической точке объема продаж, которая рассчитывается по формуле:
(3)
Соответствующие изменения вносятся в формулу определения влияния операционного рычага (2). Данное преобразование позволяет уточнить причину возникновения высокого удельного веса постоянных затрат. Если в их составе преобладают амортизационные отчисления, то операционный леверидж обусловлен высокой фондоемкостью производства, наличием дорогостоящего оборудования в составе основных фондов. Это характерно для высокотехнологичных отраслей: машиностроение, электроника, авиатранспорт. Однако, на многих российских предприятиях причина возникновения высокого левериджа иная – непропорционально большие затраты по содержанию аппарата управления. Распределение общей суммы этих затрат между отдельными изделиями в процессе калькулирования полной себестоимости продукции в определенной степени маскирует их экономическую природу. Только использование концепции альтернативных издержек позволяет принимать обоснованное финансовое решение в ходе планирования расходов предприятия.
Скачали данный реферат: Genija, Барановский, Семеновский, Tigran, Староволков, Дуклида, Evstafija.
Последние просмотренные рефераты на тему: allbest, сочинения по русскому языку, реферат театр, диплом купить.
Категории:
Предыдущая страница реферата | 1 2
Главная