Водный транспорт леса
| Категория реферата: Рефераты по эргономике
| Теги реферата: спортивные рефераты, бесплатные рефераты
| Добавил(а) на сайт: Бабурин.
Предыдущая страница реферата | 1 2 3 4 5 6 7 8 9 10 11 | Следующая страница реферата
Qmax=
где å Qг,å Qmax-сумма наблюдений среднегодовых и максимальных расходов воды в створе
водомерного поста,м3/с;
n-число лет наблюдений.
Коэффициент вариации Сv, средних и максимальных расходов воды за период наблюдений определяют по зависимости /3,стр.26/:

![]()
(1.2)
где ki-модульный коэффициент годового стока, вычисляемый для каждого члена ряда по
формуле /3,стр.25/:
, (1.3)
n-число членов исследуемого ряда .
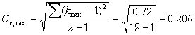
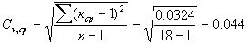
В курсовой работе коэффициенты вариации средних годовых расходов определяется:
![]()

![]()
где 0.0324;0.72-приняты по итогам расчётов (табл.1.2).
Коэффициенты асимметрии Cs принимаются /2,стр.8/:
Cs=2Cv (1.4)
В курсовой работе они определяются:
-для средних годовых расходов
Сs,ср=2Сv,ср=2*0.044=0.088
-для максимальных расходов
Cs,max=2Сv,max=2*0.206=0.412
Среднегодовые расходы воды 50,90 и 10%-ной обеспеченности определяют в следую-
щем порядке /2,стр.8/:
Qp%=Kp%*Qср, (1.5)
где Kp%-модульный коэффициент, определяется по формуле /2,стр.8/:
Рекомендуем скачать другие рефераты по теме: культура доклад, реферат на социальную тему.
Категории:
Предыдущая страница реферата | 1 2 3 4 5 6 7 8 9 10 11 | Следующая страница реферата
Главная