Образовательный портал Claw.ru
Всё для учебы, работы и отдыха
» Шпаргалки, рефераты, курсовые
» Сочинения и изложения
» Конспекты и лекции
» Энциклопедии

200000

210000

230000

Б

150000

110000

130000

150000

В

300000

250000

270000

290000

Норма дисконту :

і = 16%

Розв'язок:

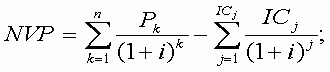
1.Провести оцінку ефективності інвестиційних поектів за такими показниками

 1.1. Розрахуємо чистий дохід для даних проектів А, Б, В.

Claw.ru | Топики по английскому языку | Інвестування

Claw.ru | Топики по английскому языку | ІнвестуванняClaw.ru | Топики по английскому языку | Інвестування

=

65605468,75

- 250000 = 65355468,8

грн.

Claw.ru | Топики по английскому языку | Інвестування


Рекомендуем скачать другие рефераты по теме: реферат бесплатно без регистрации, диплом, шпаргалки по экономике.


Категории:




Предыдущая страница реферата | 7  8  9  10  11  12  13  14  15  16  17 |


Поделитесь этой записью или добавьте в закладки

   



Рефераты от А до Я


Полезные заметки

  •