|
Образовательный портал Claw.ru Всё для учебы, работы и отдыха » Шпаргалки, рефераты, курсовые » Сочинения и изложения » Конспекты и лекции » Энциклопедии
|
=
|
42386718,75
|
- 150000 = 42236718,8
|
грн.
|
|
|
|

|
|
|
|
|
|
|
=
|
82910156,25
|
- 300000 = 82610156,3
|
грн.
|
|
|
|
Отже, проект В більш прибутковий.
|
|
|
|
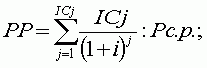
1.2. Знайдемо індекс доходності інвестицій
для проектів А, Б, В.
|
|
|

|
|
|
А: РІ=
|
4755829,2673 : 250000 =262,421875
|
|
|
|
|
Б: РІ=
|
287537,4144 : 150000 =282,578125
|
|
|
|
|
В: РІ=
|
601961,9501 : 300000 =276,367188
|
|
|
|
|
Отже, проект В більш дохідніший.
|
|
|
|
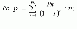
1.3. Знайдемо термін окупності інвестицій
проектів А, Б, В.
|
|

|
|
|

|
|
|
n=3 роки
|
|
|
А: Рср=
|
4755829,2673 : 3 = Рекомендуем скачать другие рефераты по теме: реферат бесплатно без регистрации, диплом, шпаргалки по экономике.
Предыдущая страница реферата | 8
9
10
11
12
13
14
15
16
17
18 | Следующая страница реферата
|
|
|