Завдання типу "Чорної скриньки"
| Категория реферата: Топики по английскому языку
| Теги реферата: реферати, шпоры по психологии
| Добавил(а) на сайт: Miljutin.
Предыдущая страница реферата | 1 2 3 | Следующая страница реферата


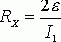
де eх – електрорушійна сила батарейки; e – електрорушійна сила зовнішнього джерела.
Розв’яжемо отриману систему рівнянь шляхом ділення лівих і правих частин:
Þ
2ex – 2e = ex+ e;
ex = 3e, отже eх = 4,5В
![]()
До Rx може належати і внутрішній опір батарейки. Перевірити достовірність отриманого результату розв’язку можна
експериментально, приєднавши до клем “чорної скриньки” амперметр. Він повинен наближено показати силу струму
І = 0,75А.
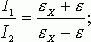
2. Нехай при зміні полярності джерела струму сила струму зменшується вдвічі (І1=1А; І2=0,5А) і напрям струму змінюється на протилежний. Очевидно, в цьому випадку можливі різні схеми елементів у “чорній скриньці”:
а) Якщо всередині “чорної скриньки” є батарейка, то її електрорушійна сила повинна бути меншою від електрорушійної сили джерела, eх < e.
;

2e – 2eх = e+ eх;
ex=1/3e; отже ex= 0,5В,
RX = 2
Ом.

Для перевірки при підключенні до клем “чорної
скриньки” амперметра сила струму наближено повинна дорівнювати:
І1 = 0,25А.
Мал. 5
б) Результат вимірювань буде однаковий, якщо в “чорній скриньці” вміщено резистори і діоди, простіші схеми з’єднання яких показано на малюнку.
У першій схемі лівий ряд відкритий, а правий закритий, сила струму
, звідки
, Rx = 3Ом.
Якщо полярність зовнішнього джерела змінити, то лівий діод закриється, а правий відкриється, і сила струму:
, ![]()
тобто сила струму зменшиться в 2 рази, і напрям струму зміниться на протилежний.
У схемі 2 діод відкритий і обидва опори ввімкнено паралельно, тоді сила струму:
Рекомендуем скачать другие рефераты по теме: сочинения по русскому языку, сочинение 3, зимой сочинение.
Категории:
Предыдущая страница реферата | 1 2 3 | Следующая страница реферата
Главная