Завдання типу "Чорної скриньки"
| Категория реферата: Топики по английскому языку
| Теги реферата: реферати, шпоры по психологии
| Добавил(а) на сайт: Miljutin.
Предыдущая страница реферата | 1 2 3
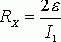
;
звідки
Rx = 3Ом.
Якщо полярність зовнішнього джерела струму змінити, то діод закриється і струм буде проходити лише по одному правому резистору Rх: І2=e/Rx; І2=0,5А, тобто сила струму зменшиться в 2 рази, але напрям струму зміниться на протилежний.
Якщо до клем “чорної скриньки” безпосередньо підключити амперметр, то він струму не покаже, отже, це свідчить про відсутність батарейки в “чорній скриньці”.
Отже, з розв’язку цієї задачі можна зробити висновок, що в процесі дослідження структури “чорної скриньки” використовуються елементи наукового дослідження: від достовірних фактів, що дають вимірювальні прилади, до висунення різних гіпотез (схем вмісту “чорної скриньки”), а потім до наслідків, які перевіряються експериментально. Це сприяє розвитку в студентів навиків наукового дослідження.
Наведемо приклади набору задач типу “чорної скриньки”, розроблені і виготовлені членами науково-методичного гуртка, які можна рекомендувати для творчої праці з учнями та студентами.
Задача3. За допомогою омметра дослідити “чорну скриньку”, яка
має дві вхідні клеми і перемикач на три положення.

Задача4. Дослідити “чорну скриньку” за допомогою
батарейки для кишенькового ліхтарика та шкільного вольтметра.
Задача5. Застосовуючи вольтметр визначити, які елементи електричного кола є в “чорній скриньці”. Намалювати можливі варіанти схеми кола.

Задача6. За допомогою омметра дослідити “чорну скриньку”. Накреслити можливі варіанти схеми кола.

Задача7. Вивчити “чорну скриньку”, застосувавши
джерело живлення постійної напруги, яке можна приєднувати лише до будь-яких двох клем різного кольору.

Задача8. Дослідити “чорну скриньку” за допомогою батарейки для кишенькового ліхтарика та шкільного амперметра, з’єднавши їх послідовно між собою і будь-якими двома клемами досліджуваної скриньки. Накреслити можливі варіанти схеми кола.
Скачали данный реферат: L'vov, Turgenev, Авдей, Саянский, Favstina, Janochkin, Virineja, Емельяненко.
Последние просмотренные рефераты на тему: переплет диплома, реферат на тему русские, евгений сочинение, рефераты.
Категории:
Предыдущая страница реферата | 1 2 3
Главная