Образовательный портал Claw.ru
Всё для учебы, работы и отдыха
» Шпаргалки, рефераты, курсовые
» Сочинения и изложения
» Конспекты и лекции
» Энциклопедии

 

 

 

 

III

880 – 935

7

 

 

 

 

 

 

 

IV

935 – 990

4

 

 

 

 

 

 

 

V

990 – 1045

2

 

 

 

 

 

 

 

Итого:

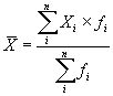
Среднюю по ряду распределения рассчитываем по средней арифметической взвешенной:

Claw.ru | Рефераты по эргономике | Статистика

где

Claw.ru | Рефераты по эргономике | Статистика

средняя по ряду распределения

Claw.ru | Рефераты по эргономике | Статистика

средняя по i-му интервалу

Claw.ru | Рефераты по эргономике | Статистика

частота i-го интервала (число банков в интервале)

Claw.ru | Рефераты по эргономике | Статистика

Мода – это наиболее часто встречающееся значение признака. Для интервального ряда мода определяется по формуле:


Рекомендуем скачать другие рефераты по теме: ответы гиа, мировая торговля.


Категории:




Предыдущая страница реферата | 11  12  13  14  15  16  17  18  19  20  21 |


Поделитесь этой записью или добавьте в закладки

   



Рефераты от А до Я


Полезные заметки

  •