Статистика
| Категория реферата: Рефераты по эргономике
| Теги реферата: конспект урока 5 класс, реферат диагностика
| Добавил(а) на сайт: Safonov.
Предыдущая страница реферата | 12 13 14 15 16 17 18 19 20 21 22 | Следующая страница реферата
|
где |
|
значение моды |
|
|
нижняя граница модального интервала |
|
|
|
величина модального интервала |
|
|
|
частота модального интервала |
|
|
|
частота интервала, предшествующего модальному |
|
|
|
частота послемодального интервала |
Модальный интервал определяется по наибольшей частоте. Для данного ряда наибольшее значение частоты равно 10, т.е. это будет интервал 770 – 825, тогда значение моды:

Медиана – значение признака, лежащее в середине ранжированного (упорядоченного) ряда распределения.
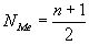
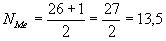
Номер медианы определяется по формуле:

|
где |
|
номер медианы |
|
|
число единиц в совокупности |

т.к. медианы с дробным номером не бывает, то полученный результат указывает, что медиана находится посередине между 13-й и 14-й величинами совокупности.
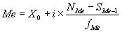
Значение медианы можно определить по формуле:

|
где |
|
значение медианы |
||
|
|
нижняя граница медианного интервала |
|||
|
|
величина медиального интервала |
|||
|
|
номер медианы |
|||
|
|
накопленная частота интервала, предшествующего медианному |
|||
|
|
Категории:Предыдущая страница реферата | 12 13 14 15 16 17 18 19 20 21 22 | Следующая страница реферата Поделитесь этой записью или добавьте в закладки |
|
Главная