Статистика
| Категория реферата: Рефераты по эргономике
| Теги реферата: конспект урока 5 класс, реферат диагностика
| Добавил(а) на сайт: Safonov.
Предыдущая страница реферата | 16 17 18 19 20 21 22 23 24 25 26 | Следующая страница реферата
Эмпирическая линия регрессии также имеет некоторую тенденцию к росту, что также свидетельствует о наличии прямой корреляционной зависимости между капиталом и прибылью банков. Определение тесноты и существенности связи
Эмпирическая линия регрессии (рисунок №1) – ломаная линия. Изломы этой
линии свидетельствуют о влиянии на признак
прочих факторов, помимо признака
.
Чтобы абстрагироваться от влияния прочих факторов, нужно прибегнуть к выравниванию
полученной ломаной линии регрессии. Для этого сначала необходимо установить
теоретическую форму связи, т.е. выбрать определенный вид функции, наилучшим
образом отображающий характер изучаемой связи.
Выбор формы связи имеет решающее значение в корреляционно-регрессионном анализе, но этот выбор всегда связан с некоторой условностью, вызванный тем, что нужно находить форму функциональной зависимости, в то время как зависимость лишь в той или иной степени приближается к функциональной. Но если зависимость довольно высокая, т.е. довольно близко приближается к функциональной, тогда именно теоретическая линия регрессии и ее параметры приобретают практическое значение.
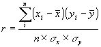
На основании качественного анализа исходных данных (таблица №1) и эмпирической линии регрессии (рисунок №1) можно предположить, что между капиталом и прибылью банков существует линейная зависимость. Для определения тесноты этой зависимости воспользуемся линейным коэффициентом корреляции:

|
где |
|
значение факторного показателя |
|
|
среднее значение факторного показателя |
|
|
|
значение результативного показателя |
|
|
|
среднее значение результативного показателя |
|
|
|
число единиц в совокупности |
|
|
|
среднее квадратическое отклонение по факторному показателю |
|
|
|
среднее квадратическое отклонение по результативному показателю |
Для вычисления линейного коэффициента корреляции воспользуемся расчетами, выполненными в таблице №4, тогда


Среднее значение и среднее квадратическое отклонение результативного показателя рассчитывается аналогично факторному:

|
где |
|
среднее значение результативного показателя |
|
|
среднее квадратическое отклонение по результативному показателю |
|
|
|
значение результативного показателя |
|
|
|
число единиц в совокупности |


Коэффициент корреляции показывает не только тесноту, но и направление связи.
Его значение изменяется от
до
. Если коэффициент имеет знак
минус, значит, связь обратная, если имеет знак плюс, то связь прямая. Близость
к единице в том и в другом случае характеризует близость к функциональной
зависимости.
Таким образом, значение
свидетельствует
о прямой и достаточно тесной связи между величиной капитала и прибылью банка.
Однако, чтобы это утверждать, необходимо дать оценку существенности линейного коэффициента корреляции, что можно выполнить на основании расчета t-критерия Стьюдента:

|
где |
|
линейный коэффициент корреляции |
|
|
число единиц в совокупности |

Для числа степеней свободы
и уровня значимости 1% табличное значение
,
т.е.
. Следовательно, с вероятностью
можно утверждать, что в генеральной
совокупности существует достаточно тесная прямо пропорциональная линейная
зависимость между величиной капитала и прибылью банка.
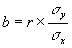
Для выравнивания эмпирической линии регрессии (рисунок №1) необходимо найти теоретическое уравнение связи. На основании вычислений, произведенных в п.8, выравнивание можно производить по прямой, т.е. теоретическое уравнение связи, имеющее линейный характер, в общем виде будет иметь вид:

Найти теоретическое уравнение связи – значит, в данном случае, определить параметры прямой. Это можно сделать способом наименьших квадратов, который дает систему нормальных уравнений для нахождения параметров прямой:

|
где |
|
значение факторного показателя |
|
|
значение результативного показателя |
|
|
|
число единиц в совокупности |
|
Тогда: |
|
|
|
где |
|
коэффициент корреляции |
|
|
среднее квадратическое отклонение по факторному показателю |
|
|
|
среднее квадратическое отклонение по результативному показателю |
|
|
|
среднее значение результативного показателя |
|
|
|
среднее значение факторного показателя |

Рекомендуем скачать другие рефераты по теме: ответы гиа, мировая торговля.
Категории:
Предыдущая страница реферата | 16 17 18 19 20 21 22 23 24 25 26 | Следующая страница реферата
Главная