Статистика
| Категория реферата: Рефераты по эргономике
| Теги реферата: конспект урока 5 класс, реферат диагностика
| Добавил(а) на сайт: Safonov.
Предыдущая страница реферата | 16 17 18 19 20 21 22 23 24 25 26 | Следующая страница реферата
Следовательно, теоретическое уравнение связи имеет вид (см. рисунок №1):

С экономической точки зрения коэффициент регрессии
говорит о том, что при увеличении капитала на
прибыль возрастает на
или на

По коэффициенту регрессии можно вычислить коэффициент эластичности и
-
коэффициент.
Коэффициент эластичности показывает, на сколько процентов увеличится результативный показатель при увеличении факторного признака на 1%:

|
где |
|
среднее значение результативного показателя |
|
|
среднее значение факторного показателя |

Следовательно, при увеличении капитала на 1%, прибыль увеличивается на 1,82%.
- коэффициент показывает,
на сколько своих среднеквадратических отклонений измениться результативный
показатель при изменении факторного признака на одно свое среднеквадратическое
отклонение:

|
где |
|
среднеквадратическое отклонение по факторному показателю |
|
|
среднеквадратическое отклонение по результативному показателю |

Следовательно, при увеличении капитала на одно свое среднеквадратическое отклонение прибыль увеличивается на 0,7 своих среднеквадратических отклонений.
Анализ динамики прибыли Анализ динамики выполняется путем расчета: показателей, характеризующих изменение анализируемого показателя по периодам; средних показателей динамики.Показатели, характеризующие изменение анализируемого показателя по периодам, могут быть рассчитаны ценным и базисным методом. Ценные показатели динамики характеризуют изменение каждого последующего показателя по сравнению с предыдущим, а базисные по сравнению с уровнем, принятым за базу сравнения. К таким показателям относятся:
Абсолютный прирост:
|
|
|
|
где |
|
уровень сравниваемого периода |
|
|
уровень предыдущего периода |
|
|
|
уровень базисного периода |
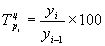
Темп роста:
|
|
|
|
где |
|
уровень сравниваемого периода |
|
|
уровень предыдущего периода |
|
|
|
уровень базисного периода |
Темп прироста:
|
|
|
|
где |
|
ценной темп роста сравниваемого периода |
|
|
базисный темп роста сравниваемого периода |
Абсолютное значение одного процента прироста:

|
где |
|
ценной абсолютный прирост сравниваемого периода |
|
|
ценной темп прироста сравниваемого периода |
|
|
|
уровень предыдущего периода |
Пункты роста:

|
где |
|
базисный темп роста сравниваемого периода |
|
|
базисный темп роста предыдущего периода |
К средним показателям динамики относятся:
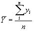
Средний уровень ряда:

|
где |
|
уровень периода |
|
|
Категории:Предыдущая страница реферата | 16 17 18 19 20 21 22 23 24 25 26 | Следующая страница реферата Поделитесь этой записью или добавьте в закладки |
|
Главная