Интеграл по комплексной переменной
| Категория реферата: Рефераты по математике
| Теги реферата: скачать доклад, семейные реферат
| Добавил(а) на сайт: Жевлаков.
Предыдущая страница реферата | 1 2 3 4 5 6 7 | Следующая страница реферата
Пусть функция f(Z) – аналитическая функция в односвязной области G, ограниченной контуром С. Возьмем внутри этой области произвольную точку Z0 и в области G вокруг этой точки построим замкнутый контур Г. Рассмотрим вспомогательную функцию j (Z). Эта функция аналитична в области G всюду, кроме точки Z=Z0. Проведем контур g с достаточным радиусом, ограничивающий точку Z0, тогда функция будет аналитична в некоторой двусвязной области, заключенной между контурами Г и g. Согласно теореме Коши имеем :
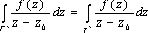
По свойствам интегралов :
(2 )
Так как левый
интеграл в (2) не зависит от выбора контура интегрирования, то и правый
интеграл также не будет зависеть от выбора контура. Выберем в качестве g окружность gr с радиусом r
. Тогда:
(3)
Уравнение окружности gr : z = Z0 + reij (4)
Подставив (4) в (3) получим :
( 5 )

( 6 )

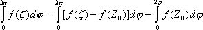
(7)
Устремим gr® 0, т.е. r®
0.
Тогда т.к. функция f(z) аналитична в точке Z=Z0 и всюду в области G, а следовательно и непрерывна в G, то для всех e>0 существует r>0, что для всех z из r–окрестности точки Z0 выполняется | f(z) – f(Z0) | < e.
![]()

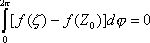
(8)
Подставив ( 7) в ( 6) с учетом ( 8) получаем :

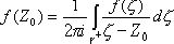
Подставляя в ( 5) и выражая f(Z0) имеем :
(9)
Это интеграл Коши.
Интеграл, стоящий в (9) в правой части выражает значение аналитической функции f(z) в некоторой точке Z0 через ее значение на произвольном контуре g , лежащем в области аналитичности функции f(z) и содержащем точку Z0 внутри.
Очевидно, что если бы функция f(z) была аналитична и в точках контура С, то в качестве границы g в формуле (9) можно было использовать контур С.
Рекомендуем скачать другие рефераты по теме: конспект урока 7 класс, реферат религия.
Категории:
Предыдущая страница реферата | 1 2 3 4 5 6 7 | Следующая страница реферата
Главная