Образцы исследования элементарных функций, содержащих обратные тригонометрические функции
| Категория реферата: Рефераты по математике
| Теги реферата: отчет по производственной практике, вид дипломной работы
| Добавил(а) на сайт: Ivolgin.
Предыдущая страница реферата | 1 2 3 4
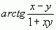
При xy=1 не имеет смысла
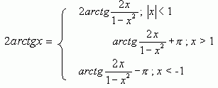
6.
; xy > -1
(6)
7.
(7)
8.
(8)
9.
(9)
10.
(10)
(11)
(12)
Скачали данный реферат: Еремеев, Фелицата, Москвитин, Цветков, Трофим, Karion.
Последние просмотренные рефераты на тему: решебник по английскому класс, сообщение об открытии счета, диплом работа, инновационная деятельность.
Категории:
Предыдущая страница реферата | 1 2 3 4
Главная