Волоконно-оптические гироскопы
| Категория реферата: Рефераты по науке и технике
| Теги реферата: вулканы доклад, реферат на тему право
| Добавил(а) на сайт: Зина.
Предыдущая страница реферата | 1 2 3 4 5 | Следующая страница реферата
Введение
Гироскоп выполняет функции детектора угловой скорости в инерциальном пространстве и по праву может называться абсолютным тахометром, являясь структурным элементом инерциальной навигационной системы, обрабатывающей информацию о местонахождении самолета или судна с целью выведения его на курс. В состав этой системы обычно входит три гироскопа — для измерения скорости вращения вокруг трех ортогональных осей, три акселерометра — для определения скорости и расстояния и направлении трех осей и компьютер — для обработки выходных сигналов этих приборов. К самолетным гироскопам предъявляются очень высокие требования: разрешающая способность и дрейф нуля 0,01°/ч, динамический диапазон 6 порядков, высокая стабильность (10-5) масштабного коэффициента преобразования угла поворота в выходной сигнал. До сих пор применялись в основном механические гироскопы, работающие на основе эффекта удержания оси вращения тела в одном направлении инерциального пространства (закон сохранения момента количества движения). Это дорогостоящие приборы, поскольку требуется высокая точность формы тела вращения и минимальное возможное трение подшипников. В отличие от механических оптические гироскопы, например, волоконно-оптические, созданные на основе эффекта Саньяка, имеют структуру статического типа, обладающую рядом достоинств, основные из которых: отсутствие подвижных деталей и, следовательно, устойчивость к ускорению; простота конструкции; короткое время запуска; высокая чувствительность; высокая линейность характеристик; низкая потребляемая мощность; высокая надежность.
Кроме того, возможно снижение стоимости волоконно-оптических гироскопов за счет внедрения оптических интегральных схем. Наряду с использованием в самолетах и на судах можно ожидать по мере прогресса в технике гироскопов применения их в автомобилях, роботах и т. д.
Принцип действия оптического гироскопа
Принцип действия оптического гироскопа основан на эффекте Саньяка. По круговому оптическому пути, как показано на рис. 1, благодаря расщепителю луча свет распространяется в двух противоположных направлениях. Если при этом система находится в покое относительно инерциального пространства, оба световых луча распространяются встречно по оптическому пути одинаковой длины. Поэтому при сложении лучей в расщепителе по завершении пути нет фазового сдвига. Однако, когда оптическая система вращается в инерциальном пространстве с угловой скоростью W, между световыми волнами возникает разность фаз. Это явление и называется эффектом Саньяка.
Рис.1. Принцип возникновения эффекта Саньяка
|
Пусть коэффициент преломления на оптическом пути n=1. При радиусе оптического пути a время достижения расщепителя лучей светом, движущимся по часовой стрелке, выражается как
(1)
Рис.2. Эффект Саньяка при оптическом пути произвольной формы
|
в противоположном направлении —
(2)
где с — скорость света.
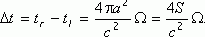
Из формул (1) и (2) разность времени распространения двух световых волн с учетом c>>aW
(3)
Это означает, что появляется разность длины оптических путей
(4)
или, иначе говоря, разность фаз
(5)
Здесь S — площадь, окаймленная оптическим путем; k — волновое число.
Формула (5) вытекает из формулы (3) при допущении, что n=1 и оптический путь имеет круговую форму, но возможно доказать, что формула (5) является основной для эффекта Саньяка. Она не зависит от формы оптического пути, положения центра вращения и коэффициента преломления.
Рис.3. Структурные схемы гироскопов на эффекте Саньяка
wr и wl - частота генерации света с правым и левым вращением; t - время, необходимое для однократного
прохождения светом кольцевого оптического пути; wFSR - полный спектральный диапазон
|
Структурные схемы оптических гироскопов
На рис. 3 приведены общие схемы систем, разработанных для повышения точности измерений. Кольцевой лазерный гироскоп (рис. 3, а) отличается высокой частотой световой волны — до нескольких сотен терагерц. Волоконно-оптический гироскоп на рис. 3, б имеет высокую чувствительность, благодаря использованию длинного одномодового оптического волокна с низкими потерями. В оптическом гироскопе пассивного типа с кольцевым резонатором (рис. 3, в) используется острая резонансная характеристика резонатора.
Кольцевой лазерный гироскоп.
Кольцевой лазерный гироскоп изготовляется подобно газовому лазеру: в кварцевом блоке путем расплавления создается полость (канал) в форме треугольника и заполняется смесью гелия и неона. Длина волны генерируемого лазером излучения 632,8 нм. Обычно частота генерации изменяется в зависимости от длины лазерного резонатора. И в данном случае частоты двух генерируемых световых волн, распространяющихся в противоположных направлениях по треугольному оптическому пути (рис. 3, а), неодинаковы из-за разности оптической длины DL [см. формулу (4)]. Поэтому можно использовать для измерений частоту биений обеих генерируемых световых волн, а именно
(6)
Здесь L — общая длина оптического пути в кольцевом резонаторе; l — длина волны генерации в состоянии покоя.
Иначе говоря, измерив Df, можно определить угловую скорость относительно инерциального пространства. Поскольку частота света составляет несколько сотен терагерц, даже ее незначительные изменения позволяют измерить разность частот. Если выходным сигналом служит частота, пропорциональная угловой скорости, то подсчетом выходных волн можно определить приращение угла поворота в цифровой форме, что обеспечивает высокую точность информации, подаваемой в навигационное вычислительное устройство. Измерение частоты возможно в широком динамическом диапазоне, а следовательно, и динамический диапазон кольцевого лазерного гироскопа вполне можно расширить и сделать достаточным для инерциальной навигационной системы. В этом большое преимущество данных гироскопов.
Рекомендуем скачать другие рефераты по теме: экзамены, воспитание реферат.
Категории:
Предыдущая страница реферата | 1 2 3 4 5 | Следующая страница реферата
Рис.1. Принцип возникновения эффекта Саньяка
Рис.2. Эффект Саньяка при оптическом пути произвольной формы
Рис.3. Структурные схемы гироскопов на эффекте Саньяка
wr и wl - частота генерации света с правым и левым вращением; t - время, необходимое для однократного
прохождения светом кольцевого оптического пути; wFSR - полный спектральный диапазон
Главная