Образовательный портал Claw.ru
Всё для учебы, работы и отдыха
» Шпаргалки, рефераты, курсовые
» Сочинения и изложения
» Конспекты и лекции
» Энциклопедии

...

...

...

Аm

аm1

am2

...

amn

qj

q1

q2

...

qn

В нижней строке матрицы указаны вероятности qj состояний природы Пj, j = 1, ..., n.

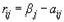
Предположим, что игрок А, не зная состояния природы, выбрал стратегию Аi. Если природа приняла состояние Пj, то выигрыш игрока А будет аij. Но если бы игрок А заранее знал, что природа примет состояние Пj, то он выбрал бы стратегию Аi0, при которой достигается наибольший выигрыш аi0j, т.е.

Claw.ru | Рефераты по эргономике | О некоторой общей схеме формирования критериев оптимальности в играх с природой(1)

Разность Claw.ru | Рефераты по эргономике | О некоторой общей схеме формирования критериев оптимальности в играх с природой(2)

между выигрышем Claw.ru | Рефераты по эргономике | О некоторой общей схеме формирования критериев оптимальности в играх с природойигрока А при заранее известном ему состоянии природы Пj и выигрышем аij при незнании игроком А состояния природы называется риском при стратегии Аi и состоянии природы Пj. Таким образом, риск rij есть та часть наибольшего выигрыша Claw.ru | Рефераты по эргономике | О некоторой общей схеме формирования критериев оптимальности в играх с природойпри состоянии природы Пj, которую игрок А не выиграл, применяя стратегию Claw.ru | Рефераты по эргономике | О некоторой общей схеме формирования критериев оптимальности в играх с природой, по причине незнания состояния природы.

Матрица

Пj

Аi

П1

П2

...

Пn


Рекомендуем скачать другие рефераты по теме: цель реферата, ответы по контрольной.


Категории:




Предыдущая страница реферата | 1  2  3  4  5  6  7  8  9  10  11 |


Поделитесь этой записью или добавьте в закладки

   



Рефераты от А до Я


Полезные заметки

  •