О некоторой общей схеме формирования критериев оптимальности в играх с природой
| Категория реферата: Рефераты по эргономике
| Теги реферата: зимнее сочинение, реферат на тему образование
| Добавил(а) на сайт: Karsakov.
Предыдущая страница реферата | 6 7 8 9 10 11 12 13 14 15 16 | Следующая страница реферата
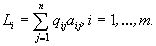
7.2. L(a, r, q) = q(a-r).
Если
в критерии 7.1 q1 = ... qn =
, то
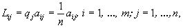
показатели игры принимают вид
![]()
а показатели оптимальности стратегий Ai превращаются (см. (11)) в среднее арифметическое выигрышей при стратегии Ai:
![]()
Такой критерий был предложен Байесом ([2], с. 119; см. также сноску на с. 2). Этот критерий также называют ([1], c. 503) "критерием недостаточного основания" Лапласа (т.е. у нас нет достаточного основания отдать предпочтение какому-нибудь состоянию природы).
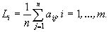
Если в критерии 7.1 вероятности состояний природы q1, …, qn различны, то показатели игры
![]()
а показатели оптимальности стратегий Ai будут представлять собой взвешенное среднее выигрышей при стратегии Ai, взятых с весами q1, …, qn:
![]()
Получившийся критерий называют критерием Лапласа ([2], c. 119.).
Критерии минимизации взвешенного среднего показателя неоптимальности стратегий.
Для данного критерия функция игры K(a, r, q) невозрастает по выигрышу а и неубывает по риску r:
K(a, r, q) Ø по а; Ú по r, (12)
показатели игры Kij= K(aij, rij, qj), показатели неоптимальности стратегий Ai
.
Оптимальной считается стратегия Ai0, минимизирующая показатель неоптимальности Ki:
![]()
Примерами таких критериев с функциями игры K(a, r, q), удовлетворяющими условиям (12), могут служить критерии:
8.1. K(a, r, q) = qr;
8.2. K(a, r, q) = q(r-a).
В критерии 8.1 показатели неоптимальности стратегии Ai представляют собой взвешенное среднее рисков при стратегии Ai с весами q1, …, qn, и критерий 8.1, таким образом, является критерием минимизации взвешенного среднего риска.
Относительно критериев 7 и 8 имеет место следующее.
Утверждение 3. Все четыре критерия 7.1, 7.2, 8.1, 8.2 эквивалентны между собой:
7.1 7.2 8.1 8.2. (13)
Рекомендуем скачать другие рефераты по теме: цель реферата, ответы по контрольной.
Категории:
Предыдущая страница реферата | 6 7 8 9 10 11 12 13 14 15 16 | Следующая страница реферата
Главная