О некоторой общей схеме формирования критериев оптимальности в играх с природой
| Категория реферата: Рефераты по эргономике
| Теги реферата: зимнее сочинение, реферат на тему образование
| Добавил(а) на сайт: Karsakov.
Предыдущая страница реферата | 7 8 9 10 11 12 13 14 15 16 17 | Следующая страница реферата
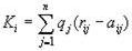
Доказательство. Рассмотрим, например, критерии 7.1 и 8.2. Показатели оптимальности в критерии 7.1 и неоптимальности в критерии 8.2 стратегий соответственно равны
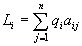
и ![]()
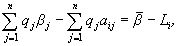
Складывая
с
и используя
при этом определение риска (2), получим
![]()
(14)
где
– взвешенное
среднее максимальных выигрышей при каждом состоянии природы Пj. Из (14) имеем:
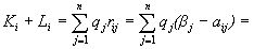
.
Аналогичным образом можно получить выражение Ki через Li для других пар критериев 7.1 и 8.1, 7.2 и 8.2. Полученные выражения представлены в табл. 2.
Таблица 2
|
Критерии |
Критерии |
8.1 |
8.2 |
|
Показатели неоптимальности стратегий критерия 8 |
|
|
|
|
Показатели оптимальности стратегий критерия 7 |
|||
|
7.1 |
|
|
|
|
7.2 Рекомендуем скачать другие рефераты по теме: цель реферата, ответы по контрольной. Категории:Предыдущая страница реферата | 7 8 9 10 11 12 13 14 15 16 17 | Следующая страница реферата Поделитесь этой записью или добавьте в закладки |
|
Главная