О некоторой общей схеме формирования критериев оптимальности в играх с природой
| Категория реферата: Рефераты по эргономике
| Теги реферата: зимнее сочинение, реферат на тему образование
| Добавил(а) на сайт: Karsakov.
Предыдущая страница реферата | 3 4 5 6 7 8 9 10 11 12 13 | Следующая страница реферата
В
данном случае функция игры, которую мы обозначим через M(a, r, q), должна не
убывать по выигрышу
и по
вероятности
состояний
природы и не возрастать по риску
:
M(a, r, q) Ú а; Ø по r; по Ú q. (8)
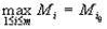
Показатели игры Mij= M(aij, rij, qj). Показатели оптимальности стратегий
![]()
Оптимальной называется стратегия Ai0, для которой
.
Максимаксные критерии являются критериями крайнего оптимизма, поскольку предполагают, что природа будет находиться в наиболее благоприятном для игрока А состоянии и потому в качестве оптимальной выбирается стратегия, при которой максимальный показатель игры – показатель оптимальности максимален среди максимальных показателей всех стратегий.
В качестве максимаксных критериев с конкретными функциями игры M(a, r, q), обладающими свойствами (8), можно взять, например, следующие:
5.1. M(a, r, q) = а;
5.2. M(a, r, q) = qa;
5.3. M(a, r, q) = a-r;
5.4. M(a, r, q) =qa-(1-q)r.
В критерии 5.1 показателями игры являются выигрыши Mij = aij, и мы получаем максимаксный критерий относительно выигрышей ([2], с. 42).
Миниминные критерии (крайнего оптимизма).
Функция игры, обозначим ее через E(a, r, q), выбирается невозрастающей по выигрышу а и по вероятности q состояний природы и неубывающей по риску r:
E(a, r, q) Ø по а; Ú по r; Ø по q. (9)
В качестве показателей неоптимальности стратегий Аi берутся
![]()
где Eij = E(aij, rij, qi) – показатели игры.
Оптимальной
назначается стратегия Ai0, минимизирующая показатель неоптимальности
, т.е.
![]()
Миниминные критерии также являются критериями крайнего оптимизма, поскольку под оптимальной стратегией понимается стратегия, при которой показатель неоптимальности минимален среди показателей неоптимальности всех стратегий.
Примерами миниминных критериев с функциями игры E(a, r, q) со свойствами (9) могут быть:
6.1. E(a, r, q) = r;
6.2. E(a, r, q) = (1–q)r;
Рекомендуем скачать другие рефераты по теме: цель реферата, ответы по контрольной.
Категории:
Предыдущая страница реферата | 3 4 5 6 7 8 9 10 11 12 13 | Следующая страница реферата
Главная