Наближене обчислення визначених інтегралів, що не беруться через елементарні функції /Укр./
| Категория реферата: Топики по английскому языку
| Теги реферата: матершинные частушки, промышленность реферат
| Добавил(а) на сайт: Miljukov.
1 2 3 4 5 6 7 8 9 10 11 | Следующая страница реферата
Вступ.
Формули прямокутників і трапеції.
Параболічне інтерполювання.
Дроблення проміжку.
Залишковий член формули прямокутників.
Залишковий член формули трапеції.
Залишковий член формули Сімпсона.
Додаток 1.
Додаток 2.
Висновки.
Література.
Вступ.Багато задач науки і техніки приводять до проблеми обчислення інтегралів, але не всі інтеграли піддаються обчисленню. В даній роботі разглядається питання наближеного обчислення визначених інтегралів, що не беруться через елементарні функції. Зокрема, виводяться формули наближеного обчислення прямокутників, формула трапецій а також формула Сімпсона.
Формули прямокутників і трапеції.
Нехай треба обчислити значення визначеного інтегралу
, де
є деяка заданая на проміжку
неперервна функція. Існує багато прикладів обчислення подібних інтегралів, або за допомогою первістної, якщо вона виражається в скінченному вигляді, або ж – минуя первістну – за допомогою різних прийомів, як правило, штучних. Потрібно відмітити, однак, що всім цим вичерпується вузький клас интегралів; за його межами зазвичай вдаються до різних методів наближеного обчислення.
В даній роботі можно ознайомитися з основними із цих методів, в яких наближені формули для інтегралів складаються по деякому числу значень підінтегральної функції, обчислених для ряду (зазвичай рівновіддалених) значень незалежної змінної.
Перші формули, які сюди відносяться, простіші всього отримуються із геометричних міркувань. Витлумачуючи визначений інтеграл
як площу деякої фігури, яка обмежена кривою
, ми і ставимо перед собою задачу знаходження цієї площі.
Перш за все, вдруге використовуючі ту думку, яка привела нас до самого поняття о визначеном інтегралі, можно розбити усю фігуру (мал. 1) на смуги, скажемо однієї і той же ширини
, а потім кожну смугу наближено замінити прямокутником, за висоту якого прийнята будь-яка із його ординат. Це приводе нас до формули
,
де
. Тут шукана площа криволінійної фігури замінюється площею деякої ступенчатої фігури, яка складається із прямокутників (або ж, можно сказати, що визначений інтеграл замінюється інтегральною сумою). Ця наближена формула і називається формулою прямокутників.
На практиці зазвичай беруть
якщо відповідну середню ординату
позначити через
, то формула перепишеться у вигляді
. (1)
Надалі, кажучи про формулу прямокутників, ми будемо мати на увазі якраз цю формулу.
Геометричні міркування природньо приводять і до другої, часто використовуваємій
наближеній формулі. Замінивши дану криву вписаною в неї ламаною, з вершинами
у точках
, где
. Тоді наша криволінійна фігура
заміниться іншою, яка складається із ряду трапецій (рис2.). Якщо, як і раніш
рахувати, що проміжок
разбитий
на рівні частини, то площі цих трапецій будуть
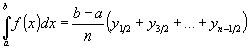
.
Мал. 2
Рекомендуем скачать другие рефераты по теме: договора диплом, шпаргалки по математике транспорт реферат, конспекты бесплатно.
Категории:
1 2 3 4 5 6 7 8 9 10 11 | Следующая страница реферата
Главная