Наближене обчислення визначених інтегралів, що не беруться через елементарні функції /Укр./
| Категория реферата: Топики по английскому языку
| Теги реферата: матершинные частушки, промышленность реферат
| Добавил(а) на сайт: Miljukov.
Предыдущая страница реферата | 1 2 3 4 5 6 7 8 9 10 11 | Следующая страница реферата
Вона носит назву формули Сімпсона (Th. Simpson); цією формулою користуються для наближенного обчислення інтегралів частіші, аніж формулами прямокутников і трапецій, бо она – при тих же затратах – дає зазвичай більш точний результат.
Залишковий член формули прямокутників.
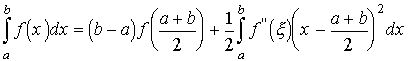
Почнемо з формули (4). Припустимо, що у проміжку
функція
має неперервні похідні перших двох порядків. Тогді, розкладая
(по формулі Тейлора) за степенями двочлена
аж до його квадрату, будемо мати для всіх значень
в
,
де
міститься між
та
і залежить від
.
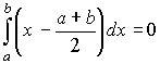
Якщо проінтегрувати цю рівність у проміжку від
до
, то другий член зправа зникне, бо
(11)
Таким чином, отримаємо
,
так, що залишковий член формули (4), який поновлює її точність має вигляд
.
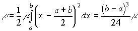
Позначив через
і
, відповідно найменьше та найбільше значення неперервної функції
у проміжку
і коростуючись тим, що другий множник підінтегрального виразу на змінює знака, за узагальненою теоремою про середне можемо написати
,
де
міститься між точками
и
. По відомій властивості неперервної функції, знайдеться в
така точка
, що
, і остаточно
. (12)
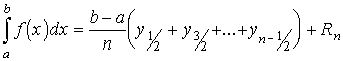
Якщо зараз розділити проміжок
на
рівних частин, то для кожного часткового проміжку
будемо мати точную формулу

.
Додавнши ці равенства (при
) почленно отримаємо при звичайних скорочених позначеннях
,
де вираз

і є залишковий член формули прямокутників (1). Так як вираз

також знаходиться між
і
,
то і він представляє одне із значень функції
.
Рекомендуем скачать другие рефераты по теме: договора диплом, шпаргалки по математике транспорт реферат, конспекты бесплатно.
Категории:
Предыдущая страница реферата | 1 2 3 4 5 6 7 8 9 10 11 | Следующая страница реферата
Главная