Наближене обчислення визначених інтегралів, що не беруться через елементарні функції /Укр./
| Категория реферата: Топики по английскому языку
| Теги реферата: матершинные частушки, промышленность реферат
| Добавил(а) на сайт: Miljukov.
Предыдущая страница реферата | 1 2 3 4 5 6 7 8 9 10 11 | Следующая страница реферата
так як
.
Якщо припустити похідну
неперервною, то, як і в попередніх випадках, залишковий член формули (8)
,
користуючись тим, що другий множник в підінтергальному виразі не змінює знака, можно підставити в такому вигляді:

.
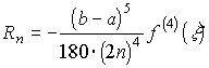
Якщо проміжок
розділити на
рівних частин, то – для формули Сімпсона (10) – отримаємо залишковий член у вигляді
(16).
При зростанні
цей вираз зменьшується приблизно як
; таким чином, формула Симпсона дійсно більш вигідна, ніж попередні дві формули.
Текст программи для автоматичного обчислення інтегралів на мові програмування QBASIC:
'Тут описуються сталі
e = 2.718281828459045#
pi = 3.141592653589793#
'Тут задається від під інтегральної функції
DEF fny# (x#) = e^ x# ^ 2
DEF fncoef# (i#) = (i# MOD 2) * 2 + 2
DEF fnxi# (i#) = a# + i# * h#
DEF fnxis# (i#) = a# + i# * h# / 2
DEF fnxic# (i#) = a# + i# * h# + h# / 2
DEF fnxir# (i#) = a# + i# * h# + h# / 2
CLS
'Тут вводяться межі інтегрування та
'кількість проміжків
Рекомендуем скачать другие рефераты по теме: договора диплом, шпаргалки по математике транспорт реферат, конспекты бесплатно.
Категории:
Предыдущая страница реферата | 1 2 3 4 5 6 7 8 9 10 11 | Следующая страница реферата
Главная