Наближене обчислення визначених інтегралів, що не беруться через елементарні функції /Укр./
| Категория реферата: Топики по английскому языку
| Теги реферата: матершинные частушки, промышленность реферат
| Добавил(а) на сайт: Miljukov.
Предыдущая страница реферата | 1 2 3 4 5 6 7 8 9 10 11 | Следующая страница реферата
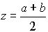
Тому остаточно маємо
(13).
При зростанні
цей додатковий член спадає приблизно як
.
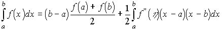
Залишковий член формули трапеції.
Займемось тепер формулою (6) при попередніх здогатках відносно функції
. Скориставшись інтерполяційною формулою Лагранжа із залишковим членом можемо написати
.
Інтегруя цю формули від
до
, знайдемо
,
так що залишковий член формули (6) буде
.
Розмірковуючи, як і вище, і користуючись тим, що другий множник підінтегральної функції і тут не змінює знака, знайдемо
.
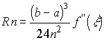
Нарешті, для випадку ділення проміжку на
рівних частин
(14).
Таким є залишковий член формули трапецій (2). При зростанні
він також зменьшуеться приблизно як
. Ми бачемо, що застосування формули трапецій приводить до похибки того ж порядку, що і для формули прямокутників.
Залишковий член формули Сімпсона.
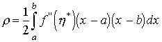
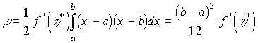
Звернемося, нарешті до формули (8). Можно було б, аналогічно тому, як це було зроблено тількі що, знов скористатись формулою Лагранжа з залишковим членом і покласти
(15).
Но ми стикаємося тут з таким станом речей, а саме, проінтегрувавши рівність (15), ми не змогли б спростити інтегральний вираз для додаткового члену за допомогою теореми про середне, бо вираз
в підінтегральній функції вже змінює знак на проміжку
. Тому ми зробимо інакше.
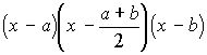
Вираз
,
яким би не було число
, в точках
,
,
приймає одні і тіж значення, що і функція
.
Легко підібрати число
так, щоб
і похідна цього виразу при
співпадала
з похідною
. Таким чином, при цьому
значенні
ми маємо не що інше, як
інтерполяційний многчлен Эрміта, який відповідаї простим вузлам
,
і двукратному вузлу
.
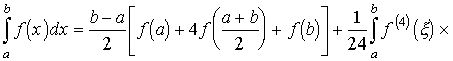
Скориставшись формулою Эрміта з залишковим членом – в пропушенні існування для
функції
похідних до четвертого
порядку включно – отримаємо:

.
Тепер проінтегрувавши цю равність від
до
; ми знайдемо, що

Рекомендуем скачать другие рефераты по теме: договора диплом, шпаргалки по математике транспорт реферат, конспекты бесплатно.
Категории:
Предыдущая страница реферата | 1 2 3 4 5 6 7 8 9 10 11 | Следующая страница реферата
Главная