Наближене обчислення визначених інтегралів, що не беруться через елементарні функції /Укр./
| Категория реферата: Топики по английскому языку
| Теги реферата: матершинные частушки, промышленность реферат
| Добавил(а) на сайт: Miljukov.
Предыдущая страница реферата | 1 2 3 4 5 6 7 8 9 10 11 | Следующая страница реферата
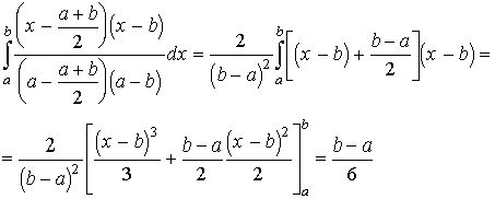
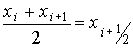
За допомогою легкого обчислення вираховуємо

і, аналогічно
,
.
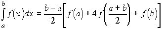
Таким чином, приходимо до наближеної формули
.
Тут площа фігури під даною кривою замінюється площею фігури, яка обмежена звичайною параболою (з вертикальною віссю), що проходить через крайні і середню точки кривої.
Збільшуя степінь
інтерполяційного многочлена, тобто проводя параболу (3) через все більше число даної кривої, можно розраховувати отримати більшу точність. Но більш практичним виявляється інший шлях, якій грунтується на поєднанні ідеї параболічного інтерполювання із ідеєю дроблення.
Дроблення проміжку.
При обчисленні інтегралу
можно зроботи так. Розіб'
ємо спочатку проміжок
на деяке число,
, рівних проміжків
,
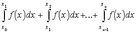
в зв' язку з чим, шуканий інтеграл постане у вигляді суми
(9)
Тепер же до кожного із цих проміжків застосуємо параболічне інтерполювання, тобто станемо обчислювати інтеграли (9) по одній із наближених формул – (4), (6), (8).
Легко збагнути, що виходячи із формул (4) або (6), ми таким шляхом знов отримаємо вже відомі нам формули прямокутників і трапецій, (1) и (2).
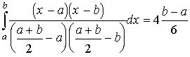
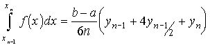
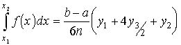
Застосуємо тепер до інтегралів (9) формулу (8), при цьому для стислості положимо, як і вище,
,
,
.
Ми отримаємо
,
,
. . . . . . . . . . . . . . . . . . . . . . . . . .
.
Зрештою, додаючи почленно ці равенства, прийдемо до формули
(10)
Рекомендуем скачать другие рефераты по теме: договора диплом, шпаргалки по математике транспорт реферат, конспекты бесплатно.
Категории:
Предыдущая страница реферата | 1 2 3 4 5 6 7 8 9 10 11 | Следующая страница реферата
Главная