Наближене обчислення визначених інтегралів, що не беруться через елементарні функції /Укр./
| Категория реферата: Топики по английскому языку
| Теги реферата: матершинные частушки, промышленность реферат
| Добавил(а) на сайт: Miljukov.
Предыдущая страница реферата | 1 2 3 4 5 6 7 8 9 10 11 | Следующая страница реферата
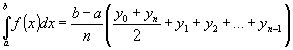
Додаючи, прийдемо до нової наближеної формули
. (2)
Це так звана формула трапецій.
Можно показати, що при зростанні
до нескінченності похибка формули прямокутників і формули трапецій нескінченно зменьшується. Таким чином, при достатньо великому
обидві ці формули відтворюють шукане значення з довільним рівнем точності.
Параболічне інтерполювання.
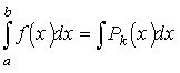
Для наближеного обчислення інтеграла
можно спробувати замінити функцію
«
близьким»
до неї многочленом
(3)
і покласти

Можно сказати, що тут – при обрахуванні площі – дана «
крива»
замінюється на «
параболу
- го порядку»
(3), в зв'
язку з чим цем процес отримав назву параболічного интерполювання.
Сам вибір інтерполюючуго многочлена
частіше всього виконують наступним чином. У проміжку
беруть
значень незалежної змінної
і підбирають многочлен
так, щоб при усіх взятих значеннях
його значення співпадало зі значенням функції
. Цією умовою, як ми знаємо, многочлен
визначається однозначно, і його вираз даеться інтерполяціонною формулою Лагранжа:

При інтерполюванні виходить лінійний, відносно значень
вираз, коефіцієнти якого вже не залежать від цих значень. Вирахувавши коефіціенти
раз і назавжди, можно їх використовувати для будь-якої функції
в даному проміжку
.
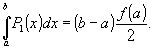
В найпростішому випадку, при
, функція
просто замінюється сталою
, де
– будь-яка точка у проміжку
, скажемо, середня:
. Тоді наближено
(4)
Геометрично – площа криволінійної фігури замінюється тут площадью прямокутника з висотою, яка рівна середній її ординаті.
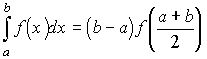
При
функція
замінюється лінійною функцією
, яка має однакові з нею значення при
и
. Якщо взяти
,
, то
(5)
і, як легко обчислити,

Таким чином, тут ми наближено вважаємо

На цей раз площа криволінійної фігури замінюється площею трапеції: замість кривої береться хорда, яка зполучає її кінці.
Менш тривіальний результат отримаємо взявши
. Якщо покласти
,
,
, то інтерполяційний многочлен
буде мати вигляд
(7)
Рекомендуем скачать другие рефераты по теме: договора диплом, шпаргалки по математике транспорт реферат, конспекты бесплатно.
Категории:
Предыдущая страница реферата | 1 2 3 4 5 6 7 8 9 10 11 | Следующая страница реферата
Главная